Physical Address
304 North Cardinal St.
Dorchester Center, MA 02124
Physical Address
304 North Cardinal St.
Dorchester Center, MA 02124

Bạn có bao giờ nghe đến chỉ số NPV mà cảm thấy bối rối? Chỉ số này không chỉ là một thuật ngữ kinh tế khô khan, mà nó còn là một công cụ hữu ích giúp bạn đưa ra các quyết định đầu tư thông minh hơn. NPV, hay giá trị hiện tại ròng, đơn giản là cách để đo lường hiệu quả tài chính của một dự án. Nếu bạn đang tìm kiếm sự hiểu biết về cách đánh giá lợi ích tiềm năng của các khoản đầu tư, bài viết hôm nay sẽ giúp bạn khám phá tầm quan trọng và cách thức hoạt động của chỉ số NPV trong thực tế. Hãy cùng nhau tìm hiểu nhé!
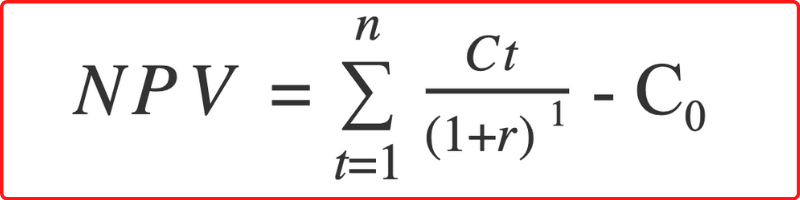
Chỉ số NPV, hay còn gọi là giá trị hiện tại ròng, là một công cụ tài chính quan trọng giúp doanh nghiệp đánh giá hiệu quả của các dự án đầu tư. NPV được tính bằng cách lấy tổng giá trị hiện tại của các dòng tiền thu về từ dự án sau khi đã trừ đi chi phí đầu tư ban đầu. Điều này có nghĩa là nó cho chúng ta biết liệu dự án có mang lại lợi nhuận hay không.
Khi tính NPV, ta áp dụng tỷ lệ chiết khấu để biến các dòng tiền trong tương lai về giá trị hiện tại. Điều này rất quan trọng vì giá trị của tiền có thể thay đổi theo thời gian, do đó việc xác định giá trị hiện tại giúp ta có cái nhìn rõ ràng hơn về khả năng sinh lời của dự án.
Một chỉ số NPV dương cho thấy dự án có khả năng sinh lời, trong khi NPV âm chỉ ra rằng chi phí đầu tư có thể không được bù đắp bởi doanh thu tương lai. Nói chung, NPV là chỉ số tài chính hữu ích để quyết định có nên tiếp tục đầu tư vào một dự án hay không.

IRR, hay còn gọi là Tỷ suất hoàn vốn nội bộ (Internal Rate of Return), là một chỉ số tài chính quan trọng giúp chúng ta đánh giá hiệu quả của các dự án đầu tư. Đơn giản hơn, IRR là tỷ lệ lợi nhuận mà dự án dự kiến sẽ mang lại trong suốt thời gian hoạt động.
Một trong những điểm đặc biệt về IRR là nó chính là tỷ lệ chiết khấu mà khi áp dụng cho dòng tiền của một dự án, giá trị hiện tại ròng (Net Present Value – NPV) sẽ bằng 0. Điều này có nghĩa là nếu một dự án có IRR cao hơn chi phí vốn, thì đó được coi là một khoản đầu tư hấp dẫn.
Trong thực tế, việc tính toán IRR có thể được thực hiện dễ dàng thông qua các phần mềm như Excel. Việc nắm rõ chỉ số này không chỉ giúp các nhà đầu tư đưa ra quyết định sáng suốt mà còn hỗ trợ doanh nghiệp trong việc lập kế hoạch tài chính dài hạn. Tóm lại, IRR là công cụ hữu ích cho bất kỳ ai đang cân nhắc đầu tư hay quản lý dự án.

Chỉ số IRR (Tỷ suất sinh lợi nội bộ) và NPV (Giá trị hiện tại thuần) là hai công cụ quan trọng mà nhà đầu tư sử dụng để đánh giá hiệu quả của một dự án đầu tư. IRR cung cấp cái nhìn về tỷ lệ hoàn vốn mà dự án có thể mang lại, giúp nhà đầu tư xác định khả năng thu hồi vốn từ chi phí ban đầu. Để tính toán IRR, ta tìm tỷ suất chiết khấu khiến cho NPV bằng 0, tức là lúc mà giá trị hiện tại của dòng tiền thu vào tương đương với dòng tiền chi ra.
Mặt khác, NPV lại hữu ích trong việc đánh giá tính khả thi về dòng tiền của dự án. Nếu NPV dương, đó là dấu hiệu rằng dự án có khả năng sinh lời. Hai chỉ số này có mối quan hệ chặt chẽ: IRR chính là tỷ lệ mà tại đó NPV bằng 0. Do đó, việc xem xét cả hai chỉ số sẽ giúp nhà đầu tư có cái nhìn tổng thể hơn về tính hiệu quả của dự án, từ đó đưa ra quyết định đầu tư thông minh hơn. Khi biết cách sử dụng và phân tích IRR và NPV, nhà đầu tư có thể quản lý rủi ro và tối ưu hóa lợi nhuận của mình trong tương lai.

NPV (Net Present Value) và NFV (Net Future Value) là hai chỉ tiêu tài chính quan trọng mà các nhà đầu tư thường sử dụng để đánh giá hiệu quả của dự án. NPV thể hiện giá trị hiện tại ròng của các dòng tiền ra và vào trong một khoảng thời gian nhất định, được chiết khấu về hiện tại. Nếu NPV dương, điều đó nghĩa là dự án có khả năng sinh lợi, còn nếu âm thì ngược lại.
Trong khi đó, NFV đại diện cho giá trị thuần trong tương lai, tổng hợp tất cả các dòng tiền thu được sau khi đã xem xét chi phí. NFV thường được áp dụng khi cần phân tích các dự án có thời gian trả lại khác nhau, giúp so sánh hiệu quả các khoản đầu tư trong tương lai.
Cả NPV và NFV đều góp phần quan trọng trong quyết định đầu tư, giúp các nhà quản lý và nhà đầu tư đưa ra lựa chọn sáng suốt hơn cho tài sản và dự án của họ. Việc hiểu rõ cả hai chỉ tiêu này sẽ giúp đánh giá đúng tiềm năng sinh lời và rủi ro trong các quyết định tài chính.

NPV (Giá trị hiện tại ròng) và EPV (Giá trị hiện tại ròng theo quan điểm vốn chủ sở hữu) là hai khái niệm quan trọng trong lĩnh vực đầu tư và tài chính. NPV cho phép nhà đầu tư đánh giá lợi ích ròng từ dự án bằng cách so sánh tổng dòng tiền vào và ra, chiết khấu về giá trị hiện tại. Đặc biệt, khi áp dụng EPV, người dùng sẽ xem xét dòng tiền ròng còn lại cho chủ sở hữu sau khi đã hoàn tất nghĩa vụ thanh toán nợ.
Dòng tiền ròng này được tính bằng tổng doanh thu cộng với các khoản hoàn thuế, trừ đi các chi phí và nghĩa vụ trả nợ. Khi tính toán NPV từ hai quan điểm khác nhau, tức Tổn bộ Vốn (TIP) và Vốn Chủ sở hữu (EPV), chúng ta sẽ có các phương pháp và công thức riêng, mang lại cái nhìn toàn diện hơn về giá trị dự án.
Chính vì vậy, việc hiểu rõ giữa NPV và EPV sẽ giúp các nhà đầu tư có cái nhìn sâu sắc hơn về tiềm năng sinh lời và rủi ro mà họ đang đối mặt trong quá trình đầu tư. Điều này không những hỗ trợ ra quyết định đầu tư chính xác mà còn tăng cơ hội đạt được lợi nhuận tốt nhất từ các dự án đầu tư.

NPV, hay giá trị hiện tại ròng, là một công cụ quan trọng trong việc đánh giá hiệu quả của các dự án đầu tư. Nó tính toán tổng giá trị hiện tại của các dòng tiền trong tương lai mà dự án mang lại và trừ đi chi phí đầu tư ban đầu. Điều đó có nghĩa là NPV cho phép chúng ta biết liệu dự án có khả thi hay không thông qua việc so sánh giữa các dòng tiền vào và dòng tiền ra.
Một cách đơn giản, nếu NPV dương, nghĩa là dự án sẽ có lợi nhuận ròng, còn nếu âm thì có thể gây thua lỗ. Công thức tính NPV rất đơn giản: NPV = Tổng giá trị hiện tại của dòng tiền vào – Giá trị hiện tại của dòng tiền ra. Đặc biệt, khi áp dụng tỷ lệ chiết khấu để đưa giá trị tương lai về hiện tại, chúng ta có thể đánh giá một cách rõ ràng hơn.
Trong thực tế, bạn có thể sử dụng Excel để tính NPV một cách dễ dàng. Chỉ cần nhập các dòng tiền vào và chi phí đầu tư cùng với tỷ lệ chiết khấu, và Excel sẽ giúp bạn tính toán. Việc hiểu và áp dụng NPV đúng cách sẽ giúp bạn đưa ra quyết định đầu tư thông minh và hiệu quả hơn.

Khi đánh giá một dự án đầu tư, việc tính toán NPV (Giá trị hiện tại thuần) là rất quan trọng để xác định tính khả thi của nó. Với lãi suất 10%, công thức NPV = ∑(P/(1+i)t) – C cho phép chúng ta so sánh dòng tiền thu được với chi phí đầu tư ban đầu. Một NPV dương chỉ ra rằng dự án có khả năng sinh lợi và nên được thực hiện.
Bên cạnh NPV, tỷ suất doanh lợi nội bộ (IRR) cũng là một chỉ tiêu quan trọng. IRR là tỷ suất lợi nhuận mà dự án có thể đạt được, giúp nhà đầu tư đưa ra quyết định. Nếu IRR vượt quá lãi suất vốn vay, dự án sẽ hấp dẫn hơn.
Ngoài ra, Tỷ suất hoàn vốn chỉnh sửa (MIRR) giúp đánh giá hiệu quả của dự án một cách chính xác hơn, vì nó tính đến chi phí vốn và lợi tức tái đầu tư. Bằng cách tổng hợp các chỉ số NPV, IRR và MIRR, nhà đầu tư có thể đưa ra quyết định sáng suốt hơn về việc có nên thực hiện dự án hay không.

Khi tìm hiểu về chỉ số NPV, bạn có thể thấy đây là một công cụ mạnh mẽ, giúp đánh giá tính khả thi của các dự án đầu tư. Dựa vào khả năng sinh lời trong tương lai, NPV không chỉ giúp chúng ta đưa ra quyết định thông minh hơn mà còn hướng tới những lựa chọn tài chính bền vững. Hãy nhớ rằng, một NPV dương không chỉ là dấu hiệu của lợi nhuận, mà còn là tín hiệu cho sự phát triển và thành công lâu dài trong kinh doanh. Hi vọng rằng qua bài viết này, bạn đã có cái nhìn rõ hơn về chỉ số NPV và áp dụng nó vào những quyết định đầu tư của riêng mình.