Physical Address
304 North Cardinal St.
Dorchester Center, MA 02124
Physical Address
304 North Cardinal St.
Dorchester Center, MA 02124

Trong quản trị tài chính doanh nghiệp, Chi Phí Sử Dụng Vốn Bình Quân là một chỉ số quan trọng giúp doanh nghiệp đánh giá hiệu quả sử dụng các nguồn vốn. Việc hiểu rõ về khái niệm này, nắm vững công thức tính, cũng như các thành phần cấu thành sẽ hỗ trợ doanh nghiệp tối ưu hóa hoạt động tài chính và đưa ra các quyết định đầu tư hợp lý. Bài viết này sẽ trình bày tổng quan về Chi Phí Sử Dụng Vốn Bình Quân, ý nghĩa, ứng dụng trong thực tiễn, những lưu ý quan trọng và cung cấp ví dụ minh họa cụ thể nhằm giúp bạn đọc hiểu rõ hơn về chỉ số này.
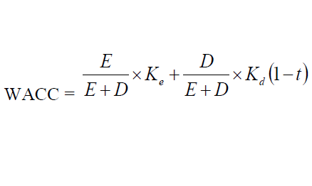
Chi phí sử dụng vốn bình quân hay còn gọi là chi phí vốn bình quân gia quyền (WACC) là một khái niệm quan trọng trong quản lý tài chính của doanh nghiệp. WACC phản ánh chi phí tài chính trung bình mà doanh nghiệp phải trả để tài trợ cho các hoạt động sản xuất kinh doanh của mình. Để tính toán WACC, doanh nghiệp xem xét tỷ trọng của từng loại vốn mà họ sử dụng, bao gồm vốn chủ sở hữu và nợ phải trả.
Một trong những điểm nổi bật của WACC là nó bao gồm chi phí vốn sau thuế, điều này giúp doanh nghiệp có cái nhìn rõ hơn về chi phí thực tế khi sử dụng vốn. Chi phí sử dụng nợ (R d) cũng khớp với tính toán này, vì nó cho thấy mức độ rủi ro và lãi suất mà công ty phải chịu khi vay nợ.
Việc hiểu và tính toán chính xác WACC không chỉ giúp doanh nghiệp dự đoán được lợi nhuận tối thiểu cần đạt được, mà còn có ảnh hưởng lớn đến quyết định đầu tư và chiến lược tài chính trong tương lai. Đây là cơ sở để nhà đầu tư đánh giá hiệu suất và khả năng sinh lời của công ty.

Chi phí sử dụng vốn bình quân gia quyền (WACC) là một chỉ số tài chính rất quan trọng giúp doanh nghiệp đánh giá chi phí tài chính của mình. WACC cho thấy mức chi phí sử dụng vốn sau thuế mà công ty phải chịu khi tài trợ cho các hoạt động. Để tính WACC, doanh nghiệp cần xác định các loại vốn mà họ sử dụng, bao gồm nợ và vốn chủ sở hữu, cùng với tỉ trọng của từng loại.
Khi tính toán WACC, có hai thành phần lớn mà công ty cần chú ý: chi phí sử dụng nợ và chi phí sử dụng vốn chủ sở hữu. Ví dụ, nếu chi phí sử dụng nợ trước thuế là 10%, chi phí vốn chủ sở hữu là 12% thì doanh nghiệp sẽ sử dụng các tỷ lệ này để tính chi phí vốn bình quân. Quyền số được xác định dựa trên tỷ trọng của từng loại vốn trong tổng cơ cấu vốn.
Mức WACC cuối cùng sẽ giúp doanh nghiệp đưa ra quyết định đầu tư hợp lý, từ đó tối ưu hóa lợi nhuận cũng như chi phí tài chính trong quá trình phát triển. Hơn nữa, WACC còn giúp các nhà đầu tư có cái nhìn rõ ràng hơn về rủi ro và lợi suất khi đầu tư vào công ty.
![]()
Chi phí vốn bình quân gia quyền (WACC) là một chỉ số quan trọng trong quản trị tài chính, phản ánh chi phí sử dụng vốn của doanh nghiệp sau thuế. WACC được tính toán dựa trên tỷ trọng các nguồn vốn mà doanh nghiệp đang sử dụng, bao gồm cả nợ và vốn cổ phần. Mỗi nguồn vốn có một chi phí riêng, và việc kết hợp chúng lại giúp doanh nghiệp có cái nhìn tổng thể hơn về chi phí tài chính.
Công thức tính WACC khá đơn giản: WACC = R_d × (1 – t) × F_d + R_e × F_e, trong đó R_d là chi phí nợ vay, R_e là chi phí vốn cổ phần, F_d và F_e là giá trị thị trường tương ứng của nợ vay và vốn cổ phần. Phương pháp này cho phép doanh nghiệp ước lượng chi phí vốn chính xác hơn.
Việc hiểu rõ WACC giúp doanh nghiệp đưa ra các quyết định đầu tư và tài chính hợp lý. Khi WACC thấp, có thể xem xét đầu tư mở rộng hoặc tài trợ dự án mới, ngược lại, nếu WACC cao, doanh nghiệp cần cân nhắc kỹ lưỡng trước khi lựa chọn cách sử dụng vốn. WACC không chỉ là một con số mà còn là công cụ hỗ trợ nhằm tối ưu hóa cấu trúc vốn và giảm thiểu rủi ro tài chính.

Chi phí sử dụng vốn bình quân (WACC) là một chỉ số rất quan trọng trong quản lý tài chính doanh nghiệp. Nó thể hiện mức chi phí trung bình mà công ty phải trả cho các nguồn vốn, bao gồm cả vốn chủ sở hữu và nợ vay, sau khi đã tính toán các yếu tố thuế. Việc hiểu rõ WACC giúp doanh nghiệp đánh giá được tính khả thi của các dự án đầu tư.
Khi một công ty có mức WACC thấp hơn tỷ suất sinh lợi kỳ vọng từ các dự án đầu tư, thì đó chính là cơ hội để tạo ra giá trị thặng dư. Ngược lại, nếu WACC cao hơn tỷ suất sinh lợi kỳ vọng, công ty cần xem xét lại chiến lược sử dụng vốn của mình để tối ưu hóa các nguồn tài chính.
Đồng thời, WACC còn là công cụ hữu ích cho các nhà đầu tư trong việc đưa ra quyết định đầu tư. Khi so sánh WACC với tỷ suất sinh lợi bình quân của thị trường, nhà đầu tư có thể xác định được mức độ rủi ro và cơ hội sinh lợi của một doanh nghiệp. Vì vậy, việc quản lý chi phí sử dụng vốn là chìa khóa để tạo ra sự phát triển bền vững cho doanh nghiệp.

Chi phí vốn bình quân gia quyền (WACC) là một trong những chỉ số tài chính quan trọng giúp doanh nghiệp đánh giá chi phí sử dụng vốn. WACC tính toán trung bình chi phí của các nguồn vốn như nợ, cổ phần ưu đãi, cổ phần thường và nguồn vốn nội bộ, dựa trên tỷ trọng của chúng trong tổng vốn.
Một trong những ứng dụng chính của WACC là để xác định tỷ lệ chiết khấu trong mô hình chiết khấu dòng tiền. Khi nhà đầu tư hoặc nhà quản lý muốn định giá một dự án đầu tư, họ thường sử dụng WACC làm cơ sở để đánh giá lợi nhuận kỳ vọng. Giả sử doanh nghiệp có WACC cao, điều này có thể cho thấy rằng việc huy động vốn là tốn kém, từ đó cần cân nhắc kỹ lưỡng khi đầu tư.
Ngoài ra, WACC giúp doanh nghiệp so sánh hiệu quả tài chính của các dự án khác nhau. Khi chi phí vốn thấp hơn WACC, dự án đó có khả năng mang lại lợi nhuận cao hơn. Ngược lại, nếu chi phí vượt qua WACC, doanh nghiệp cần xem xét lại chiến lược tài chính của mình. Thực tế, WACC là công cụ không thể thiếu trong việc lập kế hoạch và ra quyết định quản lý tài chính hàng ngày.

Chi phí sử dụng vốn bình quân, hay còn gọi là WACC, là một chỉ số quan trọng giúp doanh nghiệp đánh giá chi phí tài chính của mình. WACC được tính toán dựa trên tỷ trọng của các nguồn vốn mà doanh nghiệp sử dụng, bao gồm vốn từ cổ đông và nợ vay. Ví dụ, Công ty Cổ phần Tập đoàn Hòa Phát (HPG) có thể huy động 70% vốn từ cổ đông và 30% từ nợ vay. Chi phí của từng nguồn này sẽ được nhân với tỷ trọng của nó trước khi cộng lại để ra được WACC.
Khi WACC của HPG được xác định là 13%, điều này có nghĩa là công ty phải trả trung bình 13% cho mỗi đồng vốn mà họ sử dụng. Nếu công ty có thể vay vốn với lãi suất chỉ 10% mỗi năm, điều này cho thấy HPG nên tối ưu hóa cấu trúc vốn của mình để giảm chi phí. Việc nắm vững WACC không chỉ giúp doanh nghiệp quản lý chi phí hiệu quả mà còn tạo cơ sở cho các quyết định đầu tư đúng đắn trong tương lai.

Chi phí vốn bình quân gia quyền (WACC) là một chỉ số quan trọng trong quản lý tài chính, giúp các doanh nghiệp đánh giá chi phí huy động vốn của mình. Khi xem xét WACC, điều quan trọng là phải lưu ý đến từng nguồn vốn riêng biệt như vốn vay hay cổ phiếu ưu đãi, vì chúng có những chi phí sử dụng khác nhau. Mức độ rủi ro và khả năng sinh lời của dự án cũng cần được xem xét, bởi WACC thấp thường cho thấy khả năng huy động vốn hiệu quả.
Ngoài ra, khi tính toán WACC, doanh nghiệp cần cân nhắc đến tỷ trọng của từng loại vốn trong tổng cấu trúc tài chính. Việc xác định chi phí sử dụng vốn một cách chính xác giúp doanh nghiệp đưa ra quyết định đầu tư hợp lý, từ đó tối ưu hóa lợi nhuận. Nếu WACC cao, điều này có thể cảnh báo về rủi ro tài chính, khiến doanh nghiệp phải cẩn trọng hơn trong việc lựa chọn dự án mới.
Cuối cùng, việc áp dụng chi phí sử dụng vốn bình quân không chỉ hỗ trợ trong việc hoạch định tài chính mà còn giúp doanh nghiệp nâng cao giá trị của mình trên thị trường. Việc hiểu rõ về WACC sẽ là công cụ hữu ích trong tay quản lý trong quá trình ra quyết định.

Tổng kết lại, chi phí sử dụng vốn bình quân đóng vai trò vô cùng quan trọng trong việc quản lý tài chính doanh nghiệp. Việc nắm rõ các chỉ số liên quan giúp các nhà quản trị đưa ra những quyết định sáng suốt về đầu tư và phát triển. Thông qua việc tối ưu hóa chi phí, doanh nghiệp không chỉ gia tăng hiệu quả hoạt động mà còn nâng cao khả năng cạnh tranh trên thị trường. Do đó, việc theo dõi và điều chỉnh chi phí sử dụng vốn là một yếu tố không thể thiếu trong chiến lược tài chính dài hạn của mỗi tổ chức.