Physical Address
304 North Cardinal St.
Dorchester Center, MA 02124
Physical Address
304 North Cardinal St.
Dorchester Center, MA 02124

Nếu bạn đang tìm kiếm một cách hiệu quả để gia tăng tài sản của mình, thì lãi kép chính là một khái niệm không thể bỏ qua. Hãy tưởng tượng rằng số tiền bạn đầu tư không chỉ sinh lời từ số vốn ban đầu mà còn từ chính lãi suất đã kiếm được ở những kỳ trước. Đó là sức mạnh của lãi kép! Trong bài viết này, chúng ta sẽ cùng khám phá công cụ tính lãi kép, giúp bạn dễ dàng hình dung và lên kế hoạch tài chính cho tương lai. Bạn đã sẵn sàng để khám phá thế giới hấp dẫn của lãi kép chưa?
Công cụ tính lãi kép là một trợ thủ đắc lực cho những ai muốn quản lý tài chính và đầu tư thông minh. Với ứng dụng này, bạn có thể dễ dàng dự đoán số tiền mình sẽ có trong tương lai dựa trên các khoản tiết kiệm hoặc đầu tư hàng tháng cùng với lãi suất kỳ vọng.
Với đơn giản và miễn phí, công cụ này giúp bạn xác định tổng số tiền gốc và lãi chỉ sau một khoảng thời gian nhất định. Việc tính toán diễn ra nhanh chóng, chỉ cần nhập số tiền gửi, lãi suất và số lần tái tục, bạn sẽ nhận được kết quả ngay lập tức. Đặc biệt, Quy tắc 72 chính là một phương pháp thú vị, giúp bạn ước lượng thời gian cần thiết để khoản đầu tư của mình tăng gấp đôi.
Tuy nhiên, cũng cần nhớ rằng mọi hoạt động đầu tư đều tiềm ẩn rủi ro. Nhà đầu tư nên nghiên cứu kỹ trước khi đưa ra quyết định. Nhờ vào công cụ tính lãi kép này, việc quản lý tài chính trở nên dễ dàng hơn bao giờ hết, giúp bạn có cái nhìn tổng quát về lợi suất có thể đạt được từ những khoản đầu tư của mình.

Công cụ tính lãi kép online đang ngày càng trở nên phổ biến và hữu ích cho những ai muốn tối ưu hóa khoản đầu tư của mình. Với khả năng dự đoán chính xác số tiền gốc và lãi phát sinh trong tương lai, công cụ này giúp người dùng lập kế hoạch tiết kiệm, đầu tư một cách khoa học. Chỉ cần nhập số tiền đầu tư hàng tháng, thời gian dự định đầu tư và mức lãi suất kỳ vọng, bạn sẽ có được một cái nhìn rõ ràng về tiềm năng sinh lời.
Một trong những ưu điểm nổi bật của công cụ này là tính miễn phí và dễ sử dụng. Người dùng không cần phải là chuyên gia tài chính để hiểu và vận hành nó. Bạn có thể tự tin thực hiện các phép tính lãi suất kép mỗi ngày, tháng hoặc năm chỉ với vài cú nhấp chuột. Bên cạnh đó, những dự báo về lợi nhuận từ tiền gửi, cổ phiếu hay tiền điện tử sẽ giúp bạn dễ dàng đưa ra quyết định đầu tư thông minh hơn.
Công thức lãi suất kép đơn giản mà hiệu quả, tất cả chỉ cần một chút thời gian để làm quen. Hãy thử ngay hôm nay để trải nghiệm những lợi ích mà công cụ này mang lại cho kế hoạch tài chính của bạn!

Công cụ tính lãi kép theo ngày là một trợ thủ đắc lực cho những ai đang muốn tối ưu hóa kế hoạch tiết kiệm và đầu tư của mình. Với công cụ này, bạn có thể dễ dàng tính toán số tiền bạn sẽ có trong tương lai, dựa trên số tiền gửi mỗi tháng, thời gian đầu tư và lãi suất kỳ vọng. Không chỉ đơn giản là nhập vào một số liệu, mà nó còn giúp bạn hiểu rõ hơn về sức mạnh của lãi suất kép.
Một trong những tính năng nổi bật là khả năng tính toán lãi suất theo nhiều cách khác nhau như theo ngày, tháng hay năm. Người dùng có thể áp dụng quy tắc 72 để ước tính thời gian cần thiết để khoản đầu tư của mình tăng gấp đôi. Ví dụ, nếu lãi suất là 6%/năm, bạn chỉ cần lấy 72 chia cho 6 để biết rằng mất khoảng 12 năm để gấp đôi số tiền.
Nhờ vào những công thức tính lãi kép trực quan và dễ hiểu, bất kỳ ai cũng có thể sử dụng công cụ này. Bạn sẽ không còn phải tốn thời gian tính toán thủ công mà vẫn có được những kết quả chính xác. Đây chính là một trong những lý do mà người dùng yêu thích và đánh giá cao công cụ này.

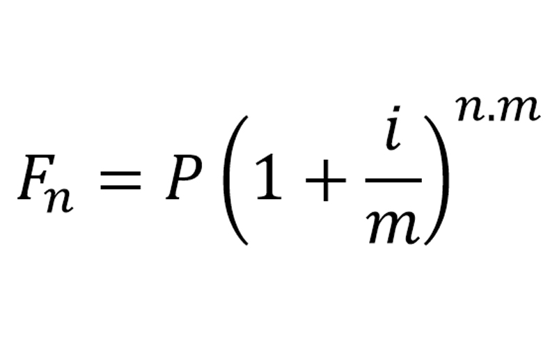
Công cụ tính lãi kép theo tháng là một ứng dụng vô cùng hữu ích dành cho những ai muốn dự đoán số tiền mình sẽ có trong tương lai từ các khoản đầu tư hoặc tiền gửi tiết kiệm. Với tính năng đơn giản, người dùng chỉ cần nhập số tiền đầu tư hàng tháng, thời gian dự định đầu tư và lãi suất kỳ vọng. Ngay lập tức, công cụ sẽ tính toán số tiền gốc và lãi sau một khoảng thời gian nhất định.
Chẳng hạn, theo công thức A = P * (1 + r/12)^(12*t), bạn có thể dễ dàng xác định tổng giá trị đầu tư. Hơn nữa, quy tắc 72 cũng giúp bạn ước lượng thời gian cần thiết để khoản đầu tư tăng gấp đôi chỉ bằng cách chia 72 cho lãi suất phần trăm. Điều này không chỉ giúp bạn có cái nhìn rõ hơn về những kỳ vọng tài chính mà còn khuyến khích bạn lập kế hoạch tiết kiệm hiệu quả hơn.
Bên cạnh đó, công cụ này hoàn toàn miễn phí và thân thiện với người dùng, dành cho cả những ai không có nhiều kiến thức về tài chính. Việc theo dõi tiến trình đầu tư giờ đây trở nên dễ dàng hơn bao giờ hết.

Nếu bạn đang tìm kiếm một cách hiệu quả để tính lãi kép, công cụ tính lãi kép online sẽ là một trợ thủ đắc lực. Với chỉ cần nhập số tiền gốc, thời gian đầu tư và mức lãi suất kỳ vọng, bạn có thể biết được tổng số tiền gốc và lãi sau một khoảng thời gian nhất định.
Một trong những tính năng thú vị của những công cụ này là chúng không chỉ giúp bạn tính toán theo năm mà còn theo tháng, thậm chí theo ngày. Chẳng hạn, quy tắc 72 cho phép bạn ước lượng nhanh chóng thời gian cần thiết để khoản đầu tư gấp đôi, chỉ cần chia 72 cho lãi suất hàng năm.
Ngoài ra, bạn cũng có thể lập kế hoạch tiết kiệm hoặc đầu tư hàng tháng, điều này sẽ giúp tối ưu hóa lợi nhuận trong tương lai. Với tất cả những tính năng này, công cụ tính lãi kép online thực sự là một lựa chọn miễn phí và dễ sử dụng, giúp bạn hiện thực hóa các mục tiêu tài chính một cách hiệu quả.
Bất kể bạn là người mới hay đã có kinh nghiệm trong đầu tư, những công cụ này sẽ mang đến cho bạn góc nhìn rõ ràng hơn về cách mà lãi kép có thể tác động tới tài chính cá nhân của mình. Hãy thử ngay hôm nay và bắt đầu hành trình đầu tư của bạn!

Lãi kép là một khái niệm tài chính rất quan trọng đối với việc tiết kiệm và đầu tư. Nó không chỉ dựa trên số tiền gốc ban đầu mà còn tính cả lãi suất được tích lũy từ các kỳ trước. Công thức tính lãi kép cơ bản là A = P * (1 + r)^n, trong đó A là tổng tiền nhận được, P là số tiền gốc, r là lãi suất hàng năm, và n là số kỳ hạn.
Một trong những điểm đặc biệt của lãi kép là khả năng sinh lời bền vững. Bạn có thể áp dụng công thức A = P * (1 + r/n)^(n*t) để tính toán tiền lãi theo từng năm hoặc tháng. Những người bắt đầu tiết kiệm sớm thường thấy được tác động tích cực của lãi kép qua thời gian. Khi bạn tái đầu tư lãi suất, số tiền bạn kiếm được sẽ tiếp tục sinh lời, tạo ra một hiệu ứng “bông hoa nở” cho tài sản của bạn.
Để tính lãi suất ở ngân hàng, chỉ cần áp dụng công thức đơn giản: Số tiền lãi = Số tiền gửi x lãi suất x số ngày gửi/365. Hãy bắt đầu tích lũy và đầu tư sớm để tận dụng sức mạnh của lãi kép, và bạn sẽ thấy tài sản của mình tăng trưởng vượt bậc qua thời gian.

Công cụ tính lãi suất tiết kiệm tích lũy tại ngân hàng VIB giúp bạn theo dõi và quản lý tài chính một cách hiệu quả. Với tính năng ứng dụng lãi suất kép, bạn có thể dễ dàng xác định lợi nhuận từ các khoản tiết kiệm thông thường hoặc tích lũy. Chỉ cần nhập số tiền gửi, lãi suất, và kỳ hạn gửi muốn tính toán, bạn sẽ biết được số tiền cuối cùng sau thời gian gửi.
Cách thức tính toán cũng rất đơn giản, bạn chỉ cần sử dụng công thức cơ bản là A = P(1 + r/n)^(nt), trong đó A là tổng số tiền (gốc + lãi) sau một khoảng thời gian nhất định. Đặc biệt, công cụ còn hỗ trợ tính toán lãi suất theo tháng, giúp bạn nắm bắt chính xác hơn về lợi nhuận dự kiến từ các khoản đầu tư của mình.
Nếu bạn có kế hoạch tiết kiệm hàng tháng, hãy thử nghiệm với công cụ này để xem số tiền bạn có thể tích lũy được. Việc biết trước được số tiền lãi sẽ giúp bạn thêm động lực để tiếp tục với kế hoạch tài chính cá nhân của mình. Hãy tận dụng sức mạnh của công cụ này để gia tăng tài sản một cách thông minh và an toàn!
![]()
Trong thế giới tài chính ngày nay, việc hiểu rõ và áp dụng lãi kép không chỉ là một ý tưởng thú vị, mà còn là một chiến lược quan trọng để gia tăng tài sản. Công cụ tính lãi kép mà chúng ta khám phá đã giúp soi sáng hành trình tài chính của bạn, từ việc hoạch định kế hoạch tiết kiệm đến đầu tư thông minh. Hãy để sức mạnh của lãi kép đồng hành cùng bạn trên con đường chinh phục ước mơ tài chính. Bằng cách bắt đầu hôm nay, bạn đang gieo trồng những mầm cây tài chính cho tương lai rực rỡ hơn.