Physical Address
304 North Cardinal St.
Dorchester Center, MA 02124
Physical Address
304 North Cardinal St.
Dorchester Center, MA 02124

Trong quá trình học tập và nghiên cứu hóa học, đặc biệt là lĩnh vực dung dịch, việc xác định nồng độ dung dịch luôn đóng vai trò quan trọng. Một trong những đại lượng cơ bản và phổ biến nhất được sử dụng là Độ mol (DOL). Tuy nhiên, không phải ai cũng nắm vững về khái niệm, công thức hay cách tính DOL một cách chính xác. Bài viết này sẽ tổng hợp các kiến thức cần thiết, hướng dẫn từng bước tính DOL, cách đổi đơn vị, đồng thời chia sẻ những lưu ý quan trọng giúp bạn vận dụng dễ dàng và hiệu quả trong thực tế học tập cũng như thực hành.
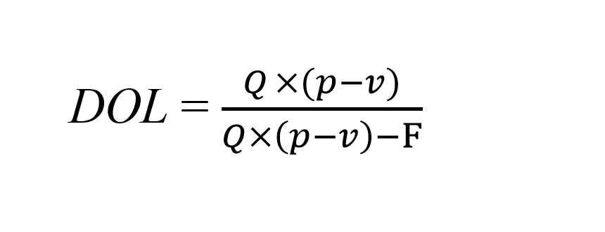
Công thức tính Độ Đòn Bẩy Kinh Doanh (DOL) đóng một vai trò quan trọng trong việc đánh giá khả năng sinh lời của doanh nghiệp. DOL được xác định bởi tỷ lệ thay đổi của lợi nhuận trước lãi vay và thuế (EBIT) so với tỷ lệ thay đổi của doanh thu hoặc số lượng sản phẩm tiêu thụ.
Công thức cụ thể là DOL = (ΔEBIT/EBIT0) / (ΔQ/Q0), với ΔEBIT được tính bằng EBIT1 – EBIT0. Điều này giúp chúng ta thấy được mức độ ảnh hưởng của việc tăng doanh thu đến lợi nhuận của công ty. Nếu một công ty có DOL cao, như công ty A với DOL bằng 8, cho thấy rằng tỷ lệ chi phí cố định trong tổng chi phí cao.
Ngược lại, công ty B chỉ có DOL bằng 2 cho thấy mức độ rủi ro thấp hơn vì chi phí cố định chỉ chiếm 22% tổng chi phí. Qua đó, DOL không chỉ là chỉ số tài chính mà còn là công cụ quan trọng giúp doanh nghiệp điều chỉnh chiến lược kinh doanh để tối ưu hóa lợi nhuận.

DOL, hay còn gọi là đòn bẩy kinh doanh, là một công cụ cực kỳ quan trọng giúp doanh nghiệp đánh giá độ nhạy cảm của lợi nhuận trước thuế và lãi vay (EBIT) khi doanh thu thay đổi. Đơn giản mà nói, DOL cho biết mức độ tác động của thay đổi doanh thu đến lợi nhuận của doanh nghiệp.
Công thức tính DOL cũng không quá phức tạp: bạn chỉ cần lấy tỷ lệ thay đổi của EBIT chia cho tỷ lệ thay đổi của doanh thu. Nếu DOL cao, điều đó có nghĩa là doanh nghiệp đang phải đối mặt với mức rủi ro kinh doanh lớn hơn, bởi lợi nhuận sẽ biến động mạnh hơn trước sự thay đổi của doanh thu.
Việc hiểu và áp dụng DOL không chỉ giúp quản lý tài chính tốt hơn mà còn định hình chiến lược kinh doanh hợp lý. Hãy nhớ rằng, khi doanh thu tăng, lợi nhuận có thể tăng lên nhiều, nhưng khi doanh thu giảm, lợi nhuận cũng sẽ bị ảnh hưởng tương tự. Đó chính là lý do vì sao việc nắm vững DOL là rất cần thiết trong bất kỳ hoạt động kinh doanh nào.

Để xác định nồng độ mol của dung dịch NaCl, trước tiên bạn cần biết khối lượng của chất tan. Ví dụ, nếu bạn hòa tan 10 g NaCl vào nước để tạo thành 500 ml dung dịch, bạn sẽ cần tính số mol NaCl trước. Áp dụng công thức n = m / M, với M là khối lượng mol của NaCl (khoảng 58,5 g/mol), bạn có thể dễ dàng tìm ra số mol.
Sau khi xác định số mol, bước tiếp theo là tính thể tích dung dịch. Lưu ý rằng 500 ml cần được chuyển đổi sang lít, tức là 0,5 l. Giờ đây, bạn có thể áp dụng công thức nồng độ mol: CM = n / V.
Chỉ cần thay số vào, bạn sẽ có nồng độ mol là số mol NaCl chia cho thể tích dung dịch. Kết quả cho bạn biết nồng độ của dung dịch NaCl trong hệ thống của mình, giúp bạn có thêm thông tin để thực hiện các thí nghiệm hóa học khác một cách chính xác hơn.

Đòn bẩy kinh doanh, hay còn gọi là Degree of Operating Leverage (DOL), là một khái niệm quan trọng trong lĩnh vực tài chính. Nó thể hiện mức độ nhạy cảm của lợi nhuận doanh nghiệp đối với sự thay đổi của doanh thu. Điều này có nghĩa là, nếu doanh thu tăng hoặc giảm, lợi nhuận sẽ biến đổi theo tỷ lệ lớn hơn.
Công thức tính DOL rất đơn giản: DOL = (% thay đổi của lợi nhuận trước thuế và lãi vay) / (% thay đổi của doanh thu). Ví dụ, nếu doanh nghiệp có lợi nhuận trước thuế là 500 triệu đồng và doanh thu của họ là 2 tỷ đồng, thì DOL sẽ được tính bằng 2 tỷ / 500 triệu, cho kết quả là 4. Điều này có nghĩa là, nếu doanh thu tăng 10%, lợi nhuận sẽ tăng 40%.
Hiểu rõ DOL giúp doanh nghiệp quản lý rủi ro tài chính và đưa ra quyết định chiến lược hợp lý. Độ bẩy cao cho thấy lợi nhuận có thể tăng mạnh khi doanh thu tăng, nhưng cũng không thể quên rằng điều này đi kèm với rủi ro lớn hơn nếu doanh thu sụt giảm.

Để tính nồng độ phần trăm của dung dịch, chúng ta cần áp dụng công thức C% = (mct / mdd) * 100%, trong đó C% là nồng độ phần trăm, mct là khối lượng chất tan, và mdd là khối lượng dung dịch. Đầu tiên, cần xác định số chất có trong dung dịch. Đặc biệt, câu hỏi về số dư của các chất tham gia phản ứng cũng rất quan trọng.
Sau đó, khối lượng dung dịch được tính bằng tổng khối lượng của chất tan và khối lượng dung môi. Có thể dễ dàng tìm ra khối lượng dung dịch bằng công thức: mdd = mct + mđm. Khi đã biết hai đại lượng bất kỳ, bạn có thể dễ dàng suy ra đại lượng còn lại để áp dụng công thức.
Ví dụ, nếu bạn trộn 300mL dung dịch NaOH nồng độ 2M với 200mL dung dịch NaOH nồng độ 0,01M, chúng ta cần tính nồng độ mol/L của dung dịch thu được. Công thức C=n/V sẽ rất hữu ích trong trường hợp này, nơi n là số mol chất tan và V là thể tích dung dịch. Như vậy, những công thức này hỗ trợ hiệu quả trong việc tính toán nồng độ của dung dịch.

Khi tính toán độ đòn bẩy kinh doanh (DOL), có một số lưu ý quan trọng mà bạn cần ghi nhớ. Bước đầu tiên, hãy chú ý đến sự thay đổi của lợi nhuận trước lãi vay và thuế khi sản lượng hàng hóa bán ra thay đổi. Điều này cho thấy mức độ nhạy cảm của lợi nhuận đối với biến động doanh thu.
Công thức cơ bản để tính DOL là tỷ lệ phần trăm thay đổi của lợi nhuận trước thuế và lãi vay chia cho phần trăm thay đổi trong sản lượng hàng hóa bán ra. Nếu trong kết cấu chi phí kinh doanh, các chi phí cố định chiếm tỷ trọng lớn, thì DOL sẽ cao hơn, đồng nghĩa với việc lợi nhuận sẽ tăng mạnh hơn khi doanh thu tăng.
Ngoài ra, bạn cũng cần xác định rõ mục tiêu sử dụng vốn và ước tính thu nhập cũng như chi phí hàng tháng để có cái nhìn tổng quát về khả năng trả nợ. Giữ tỷ lệ nợ trên tổng thu nhập ở mức an toàn là điều cần thiết, điều này giúp bạn kiểm soát rủi ro trong hoạt động kinh doanh của mình.

Kết luận, công thức tính độ ô nhiễm không khí (DOL) đóng vai trò quan trọng trong việc đánh giá chất lượng môi trường sống của chúng ta. Qua việc áp dụng công thức này, chúng ta có thể nhận diện và theo dõi các yếu tố có ảnh hưởng trực tiếp đến sức khỏe cộng đồng. Sự chính xác trong việc tính toán DOL không chỉ giúp các nhà khoa học, nhà quản lý mà còn tăng cường nhận thức của cộng đồng về tầm quan trọng của bảo vệ môi trường. Việc thực hiện các biện pháp giảm thiểu ô nhiễm là trách nhiệm chung của mọi người, góp phần xây dựng một môi trường trong lành và bền vững.