Physical Address
304 North Cardinal St.
Dorchester Center, MA 02124
Physical Address
304 North Cardinal St.
Dorchester Center, MA 02124

Trong kinh tế học, hệ số co giãn là một khái niệm quan trọng nhằm đo lường mức độ phản ứng của một biến số khi có sự thay đổi của biến số khác. Việc hiểu rõ hệ số co giãn giúp các nhà hoạch định chính sách, doanh nghiệp cũng như người tiêu dùng đưa ra những quyết định tối ưu hơn trong hoạt động kinh tế. Bài viết này sẽ trình bày chi tiết về hệ số co giãn, ý nghĩa của nó, các loại hệ số co giãn phổ biến, công thức tính, các yếu tố ảnh hưởng, ứng dụng trong thực tiễn cũng như đưa ra những ví dụ minh họa cụ thể.
Hệ số co giãn (elasticity) là một khái niệm quan trọng trong kinh tế học, dùng để đo lường mức độ phản ứng của một biến số nào đó, thường là số lượng cầu hoặc giá cả. Cụ thể, hệ số co giãn của cầu theo giá phản ánh tỷ lệ phần trăm biến đổi của lượng cầu khi giá của hàng hóa thay đổi 1%. Điều này có ý nghĩa to lớn trong việc phân tích thị trường, giúp chúng ta hiểu được cách thức mà người tiêu dùng điều chỉnh nhu cầu của họ dựa vào biến động giá cả.
Hệ số co giãn là một con số thuần túy, không có đơn vị đo, và thường mang giá trị âm. Điều này xuất phát từ bản chất của cầu: khi giá cả tăng lên, lượng cầu thường giảm xuống. Thực tế cho thấy, giá trị tuyệt đối của hệ số co giãn cầu theo giá rất hữu ích trong việc phân loại hàng hóa, từ đó xác định tính nhạy bén của cầu đối với sự thay đổi giá.
Một khía cạnh thú vị khác là việc hệ số co giãn sẽ biến đổi tại các mức giá khác nhau. Khi giá giảm, hệ số co giãn thường tăng, khiến lượng cầu tăng lên một cách mạnh mẽ. Điều này cho thấy rằng việc hiểu và áp dụng hệ số co giãn có thể giúp các nhà kinh doanh và nhà hoạch định chính sách đưa ra quyết định tốt hơn trong việc định giá và tiếp thị sản phẩm.

Hệ số co giãn của cầu theo giá là một khái niệm quan trọng trong kinh tế học, giúp chúng ta hiểu cách mà lượng cầu của hàng hóa thay đổi khi giá cả biến động. Cụ thể, hệ số này đo lường mức độ nhạy cảm của cầu đối với sự thay đổi của giá. Khi giá một sản phẩm tăng lên, lượng cầu thường sẽ giảm xuống, và ngược lại. Điều này phản ánh mối quan hệ nghịch chiều giữa giá và lượng cầu.
Việc nắm rõ hệ số co giãn có ý nghĩa rất lớn đối với người bán. Nếu hệ số co giãn cao, tức là cầu rất nhạy cảm với giá, thì việc giảm giá có thể kích thích mua sắm và tăng doanh thu. Ngược lại, nếu cầu ít nhạy cảm với giá, người bán có thể yên tâm tăng giá mà không lo bị mất khách hàng. Bởi vậy, hiểu được độ co giãn này không chỉ giúp các nhà kinh doanh đưa ra quyết định chiến lược đúng đắn mà còn tối ưu hóa lợi nhuận.
Cuối cùng, hệ số co giãn cũng phần nào phản ánh tâm lý của người tiêu dùng. Khi lựa chọn hàng hóa, họ luôn cân nhắc giữa giá trị và giá cả, và đây chính là lý do mà các yếu tố như chất lượng và thương hiệu lại đóng vai trò quan trọng trong quyết định mua sắm của họ.

Hệ số co giãn là một khái niệm quan trọng trong kinh tế học, giúp chúng ta hiểu sự phản ứng của cung và cầu khi giá cả thay đổi. Cung theo giá được phân loại thành năm mức độ khác nhau. Đầu tiên, cung ít co giãn nghĩa là khi giá thay đổi, lượng cung không thay đổi nhiều, thường thấy trong các mặt hàng thiết yếu.
Ngược lại, cung có độ co giãn vừa phải hay co giãn tương đối cho thấy sự nhạy cảm hơn đối với biến động giá. Khi giá tăng, lượng cung tăng mạnh và ngược lại. Cung hoàn toàn co giãn nghĩa là tại một mức giá xác định, lượng cung có thể thay đổi linh hoạt, phản ánh thị trường cạnh tranh cao.
Ngoài ra, hệ số co giãn của cầu cũng quan trọng không kém với những phân loại như cầu ít co giãn, cầu co giãn đơn vị hay cầu hoàn toàn không co giãn. Tất cả những yếu tố này đều ảnh hưởng lớn đến quyết định sản xuất và chiến lược giá của doanh nghiệp. Hiểu rõ hệ số co giãn không chỉ giúp dự đoán xu hướng thị trường mà còn tối ưu hóa lợi nhuận.

Hệ số co giãn là một khái niệm quan trọng trong kinh tế học, cho thấy mối quan hệ giữa giá cả và lượng cầu hoặc lượng cung. Khi ta có mức giá P=40 và tính toán hệ số co giãn cầu, chúng ta có ED = -2, có nghĩa là cầu co giãn mạnh tại mức giá này. Điều đó có nghĩa là khi giá tăng, lượng cầu giảm mạnh hơn.
Để hiểu rõ hơn, chúng ta có công thức tổng doanh thu TR = P x Q. Sự thay đổi trong giá dẫn đến sự thay đổi tương ứng trong lượng cầu, từ đó ảnh hưởng đến tổng doanh thu. Đối với những sản phẩm có cầu co giãn, khi giá tăng lên, tổng doanh thu có thể giảm do lượng cầu giảm nhiều hơn.
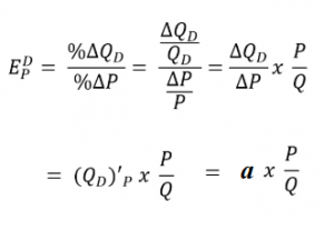
Độ co giãn cầu theo giá được tính bằng tỉ lệ phần trăm thay đổi trong lượng cầu so với phần trăm thay đổi trong giá cả. Việc áp dụng công thức E = %∆Q / %∆P giúp chúng ta xác định được mức độ nhạy cảm của thị trường đối với những biến động giá cả.

Hệ số co giãn của cung theo giá, hay EP S, là thước đo cho thấy sự thay đổi của lượng cung khi giá cả thay đổi. Điều này có ý nghĩa rất lớn trong nền kinh tế vì nó phản ánh sự nhạy cảm của nhà sản xuất trước biến động giá. Khi giá tăng, liệu lượng cung có tăng theo hay không, và nếu có thì bao nhiêu phần trăm.
Có nhiều yếu tố ảnh hưởng đến hệ số co giãn của cung. Một trong số đó là khả năng thay thế của các yếu tố sản xuất. Nếu nhà sản xuất có thể dễ dàng chuyển đổi từ sản xuất mặt hàng này sang mặt hàng khác, thì họ sẽ phản ứng nhanh nhạy hơn với sự thay đổi giá.
Thời gian sản xuất cũng đóng vai trò quan trọng. Trong ngắn hạn, nhà sản xuất có thể gặp khó khăn trong việc điều chỉnh lượng cung, nhưng trong dài hạn, họ có thể đưa ra quyết định chiến lược hơn. Ngoài ra, sự sẵn có của nguồn lực sản xuất cũng quyết định đến khả năng mở rộng sản xuất và đáp ứng nhu cầu thị trường.
Cuối cùng, yếu tố tâm lý người tiêu dùng và xu hướng tiêu dùng cũng có ảnh hưởng to lớn đến việc điều chỉnh lượng cung trong bối cảnh kinh tế biến động. Như vậy, hiểu biết về các yếu tố này giúp nhà sản xuất đưa ra các quyết định hợp lý đáp ứng thị trường.

Hệ số co giãn là một công cụ hữu ích trong kinh tế, giúp chúng ta hiểu rõ hơn về cách người tiêu dùng và nhà sản xuất phản ứng trước sự thay đổi của giá cả. Co giãn cầu theo giá, cụ thể, đo lường mức độ nhạy cảm của lượng cầu đối với sự thay đổi giá. Khi giá hàng hóa tăng, lượng cầu thường giảm và ngược lại, việc này phản ánh mối quan hệ nghịch chiều giữa giá và lượng cầu.
Hàng hóa khác nhau có độ co giãn khác nhau. Ví dụ, hàng hóa xa xỉ thường có hệ số co giãn lớn hơn so với hàng hóa thiết yếu. Điều này có nghĩa là khi giá hàng xa xỉ tăng, người tiêu dùng sẽ thay đổi thói quen mua sắm rõ ràng hơn so với khi giá hàng thiết yếu tăng. Điều này cũng liên quan đến tỷ lệ chi tiêu của người tiêu dùng cho từng loại hàng hóa.
Hiểu được hệ số co giãn không chỉ giúp doanh nghiệp điều chỉnh chiến lược giá mà còn giúp nền kinh tế tránh tình trạng thừa hoặc thiếu hàng hóa. Nếu nắm vững điều này, các nhà quản lý có thể đưa ra quyết định chính xác, đảm bảo cân bằng cung cầu trên thị trường.

Hệ số co giãn của cầu theo giá là một khái niệm quan trọng, giúp ta hiểu rõ sự nhạy cảm của lượng cầu đối với sự thay đổi giá. Ví dụ, trên thị trường hàng hóa A với hàm cầu Q = -2P + 120, chúng ta có thể tính toán hệ số co giãn tại ba mức giá khác nhau: P = 40, P = 30 và P = 20.
Tại mức giá P = 40, lượng cầu sẽ giảm mạnh, thể hiện rõ sự nhạy cảm của người tiêu dùng trước sự thay đổi giá. Khi giá xuống còn P = 30, mặc dù lượng cầu vẫn giảm, nhưng mức độ giảm sẽ nhỏ hơn so với mức giá cao hơn. Đến mức giá P = 20, lượng cầu lại tăng lên, cho thấy sự phản ứng tích cực của người tiêu dùng khi giá hạ.
Điều này chỉ ra rằng, khi giá càng thấp, hệ số co giãn của cầu thường có xu hướng tăng. Người tiêu dùng có xu hướng “nhạy cảm” và sẽ tăng cường mua sắm hơn khi giá giảm. Nói tóm lại, việc nắm bắt hệ số co giãn là rất cần thiết để các doanh nghiệp có thể điều chỉnh chính sách giá phù hợp và tối ưu hóa doanh thu.
![]()
Trong bối cảnh kinh tế hiện đại, hệ số co giãn là một công cụ quan trọng giúp các nhà kinh tế học và doanh nhân đánh giá phản ứng của người tiêu dùng đối với sự thay đổi giá cả và thu nhập. Việc hiểu rõ về hệ số co giãn không chỉ góp phần vào việc hoạch định chiến lược giá hiệu quả mà còn giúp tối ưu hóa lợi nhuận và nâng cao sự hài lòng của khách hàng. Chính vì vậy, việc nghiên cứu và ứng dụng hệ số co giãn trong thực tiễn kinh tế là cần thiết, mở ra nhiều cơ hội và thách thức cho các doanh nghiệp trong việc thích ứng với xu hướng thị trường ngày càng biến đổi.