Physical Address
304 North Cardinal St.
Dorchester Center, MA 02124
Physical Address
304 North Cardinal St.
Dorchester Center, MA 02124

Trong thế giới tài chính, việc đánh giá giá trị của một doanh nghiệp hay dự án không chỉ đơn thuần là nhìn vào các con số trên bảng báo cáo. Một trong những phương pháp hữu hiệu được các nhà đầu tư và nhà quản lý ưa chuộng chính là chiết khấu dòng tiền (DCF). Phương pháp này không chỉ giúp chúng ta dự đoán được giá trị thực của một tài sản, mà còn mang đến cái nhìn sâu sắc về khả năng sinh lời trong tương lai. Trong bài viết này, chúng ta sẽ cùng khám phá cách mà DCF hoạt động, lợi ích của nó và một số lưu ý cần thiết khi áp dụng phương pháp này nhé!
Phương pháp chiết khấu dòng tiền (Discounted Cash Flow – DCF) là một công cụ hữu ích trong việc định giá các khoản đầu tư, cho phép nhà đầu tư đánh giá giá trị thực sự của một dự án hoặc doanh nghiệp. Bằng cách này, các nhà đầu tư có thể dự đoán dòng tiền tương lai mà khoản đầu tư sẽ tạo ra và từ đó tính toán giá trị hiện tại của nó.
Để áp dụng phương pháp DCF, bước đầu tiên là lập dự toán tài chính cho doanh nghiệp. Sau đó, cần xác định dòng tiền tự do (Free Cash Flows), tức là các dòng tiền mà doanh nghiệp thực sự có thể sử dụng sau khi đã trừ đi tất cả chi phí. Tiếp theo, việc tính toán các hệ số chiết khấu cũng rất quan trọng, bởi chúng phản ánh yếu tố thời gian của tiền bạc.
Cuối cùng, tất cả dòng tiền dự kiến sẽ được chiết khấu về giá trị hiện tại, giúp chúng ta có cái nhìn rõ nét hơn về khả năng sinh lời và giá trị thực của khoản đầu tư. Nhờ vào phương pháp DCF, nhà đầu tư có thể đưa ra những quyết định chính xác và hiệu quả hơn khi lựa chọn các cơ hội đầu tư.

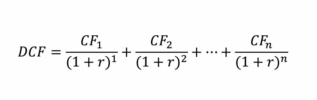
Công thức chiết khấu dòng tiền (Discounted Cash Flow – DCF) là một công cụ hữu ích giúp chúng ta định giá các khoản đầu tư. DCF xem xét giá trị thời gian của tiền, tức là nó tính toán giá trị dòng tiền trong tương lai và quy đổi về hiện tại. Công thức này cơ bản gồm ba yếu tố: dòng tiền trong kỳ (CF), lãi suất chiết khấu (r) và số kỳ (n).
Để tính toán, chúng ta sẽ chia tổng dòng tiền trong mỗi kỳ cho (1 + r)^n. Việc này giúp chúng ta hiểu rõ giá trị thực của dòng tiền trong tương lai. Đặc biệt, chi phí sử dụng vốn (WACC) cũng đóng vai trò quan trọng trong công thức này, vì nó xác định mức độ rủi ro cũng như chi phí đầu tư mà doanh nghiệp phải chịu.
Một ví dụ điển hình là khi bạn muốn biết giá trị của một khoản đầu tư trong ba năm tới, hãy áp dụng công thức và xem xét dòng tiền mà nó mang lại. Phương pháp này không chỉ đơn thuần là số liệu mà còn là công cụ để đưa ra quyết định đầu tư chính xác hơn.

Phương pháp chiết khấu dòng tiền tự do FCFF là một trong những công cụ quan trọng trong việc định giá doanh nghiệp. Khác với cách đo lường lợi nhuận kế toán, phương pháp này tập trung vào dòng tiền thực tế mà doanh nghiệp tạo ra sau khi đã thanh toán các chi phí hoạt động. Dòng tiền thuần FCFF chính là một chỉ số phản ánh khả năng sinh lời thực sự, không chỉ dành cho cổ đông mà còn cho cả chủ nợ.
Công thức tính FCFF giúp chúng ta dễ dàng hình dung hơn về các yếu tố ảnh hưởng đến dòng tiền này. Nó bao gồm lợi nhuận trước lãi vay sau thuế, khấu hao, từ đó trừ đi chi tiêu vốn và thay đổi vốn lưu động. Việc xem xét từng thành phần này tạo ra bức tranh rõ nét về tình hình tài chính của doanh nghiệp.
Phương pháp FCFF còn được sử dụng để dự báo dòng tiền tương lai của doanh nghiệp, từ đó đưa ra quyết định đầu tư hợp lý. Nhờ vào ưu điểm này, chắn chắn FCFF sẽ tiếp tục là một trong những chỉ số được ưa chuộng trong phân tích tài chính.

Chiết khấu dòng tiền (Discounted Cash Flow – DCF) là một trong những phương pháp đánh giá đầu tư rất phổ biến trong lĩnh vực tài chính. Kỹ thuật này chú trọng đến giá trị thời gian của dòng tiền, tức là giá trị của số tiền bạn nhận được trong tương lai không bằng số tiền bạn có ngay bây giờ. Đặc biệt, DCF không chỉ giúp ước lượng giá trị hiện tại của khoản đầu tư mà còn cho thấy khả năng sinh lời của nó trong suốt thời gian thực hiện.
Để áp dụng phương pháp DCF, trước tiên bạn sẽ cần xác định giai đoạn dự báo dòng tiền tương lai. Sau đó, việc tính toán dòng tiền thuần và tỷ lệ chiết khấu thích hợp sẽ là chìa khóa để định giá đúng đắn. Chẳng hạn, nếu bạn có dòng tiền đều hàng năm và tỷ lệ chiết khấu là 10%, bạn có thể tính toán giá trị dòng tiền dự kiến bằng cách sử dụng công thức đơn giản, từ đó thấy rõ hơn cuộc sống đầu tư của bạn.
Nói chung, bằng việc áp dụng DCF, doanh nghiệp sẽ có công cụ mạnh mẽ để ra quyết định đầu tư, kiểm soát rủi ro và thực hiện các thương vụ M&A một cách hiệu quả. Đây là lý do tại sao phương pháp chiết khấu dòng tiền trở thành một phần thiết yếu trong quy trình đánh giá tài chính hiện nay.

Phương pháp chiết khấu dòng tiền (DCF) là một trong những công cụ phổ biến nhất để định giá doanh nghiệp. Những người làm trong lĩnh vực tài chính thường sử dụng nó để ước lượng giá trị của một khoản đầu tư bằng cách nhìn nhận vào dòng tiền mà doanh nghiệp có khả năng tạo ra trong tương lai. DCF không chỉ đơn thuần là một phép toán mà còn bao hàm nhiều yếu tố như giá trị thời gian của tiền và khả năng sinh lời của doanh nghiệp.
Một trong những điểm mạnh của DCF là khả năng ước lượng dòng tiền tự do của doanh nghiệp, bao gồm cả dòng tiền tự do cho vốn chủ sở hữu (FCFE) và dòng tiền tự do cho doanh nghiệp (FCFF). Để thực hiện một dự toán chính xác, người sử dụng cần tạo ra bảng dự phóng rõ ràng về dòng tiền trong 5 năm tới. Điều này giúp cho việc điều chỉnh suất chiết khấu trở nên dễ dàng hơn, tùy thuộc vào mức độ rủi ro của từng dự án khác nhau.
Nếu bạn là một kế toán trưởng hay CFO, việc thuần thục kỹ thuật này sẽ giúp bạn có những quyết định đầu tư sáng suốt hơn. Về cơ bản, DCF mang lại cái nhìn sâu sắc hơn về tiềm năng sinh lợi của doanh nghiệp, từ đó định hình chiến lược phát triển trong tương lai.

Phương pháp chiết khấu dòng tiền (DCF) là một kỹ thuật quan trọng trong tài chính doanh nghiệp, giúp định giá tài sản dựa trên sự dự đoán các dòng tiền trong tương lai và tính toán giá trị hiện tại của chúng. Thông qua việc xem xét giá trị thời gian của dòng tiền, phương pháp này phản ánh khả năng sinh lời của các dự án và doanh nghiệp.
Để áp dụng phương pháp DCF, trước tiên, nhà đầu tư cần lập dự toán tài chính cho công ty. Sau đó, xác định dòng tiền tự do (Free Cash Flows), một yếu tố quyết định trong việc đánh giá năng lực sinh lời của doanh nghiệp. Tiếp theo, việc tính toán các hệ số chiết khấu cũng rất quan trọng, vì nó giúp chuyển đổi các dòng tiền tương lai về giá trị hiện tại.
Bên cạnh đó, so sánh lãi đơn và lãi kép cũng là một khía cạnh đáng lưu ý. Hiểu rõ cách tính lãi suất chiết khấu ngân hàng thương mại sẽ giúp nhà đầu tư đưa ra quyết định thông minh hơn trên thị trường chứng khoán. Thực chất, phương pháp DCF không chỉ hỗ trợ đầu tư an toàn mà còn tối ưu hóa cơ hội sinh lời trong dài hạn.

Trong thế giới tài chính, phương pháp chiết khấu dòng tiền DCF không chỉ là một công cụ đánh giá đầu tư mà còn là một cách nhìn nhận giá trị thực sự của một doanh nghiệp. Qua những phân tích chi tiết, chúng ta nhận ra rằng việc dự đoán tương lai không chỉ dựa vào con số, mà còn là khả năng đánh giá những yếu tố tác động từ môi trường bên ngoài. Hi vọng rằng, với kiến thức này, bạn sẽ tự tin hơn khi đưa ra quyết định đầu tư và nhìn nhận giá trị của từng cơ hội một cách rõ ràng và chính xác hơn. Hãy nhớ, mọi quyết định đều cần sự cân nhắc và chính xác để xây dựng một tương lai tài chính vững mạnh.